-
خواسته مردم برای ایجاد ثبات اقتصادی و برقراری عدالت باید محقق شود

-
اقتصاد فصلی اردبیل؛ اعتراف رسمی به شکست توسعه

به گزارش یازاکو، جعفر ساعینیا_ اینکه اقتصاد اردبیل فصلی است، نه کشف تازهای است و نه دستاورد تحلیلی. این جمله در واقع اعترافی دیرهنگام به سالها غفلت، روزمرگی و ناتوانی در تبدیل ظرفیت به ثروت پایدار است. استانی که میتوانست قطب کشاورزی مدرن، صنایع غذایی صادراتمحور، لجستیک مرزی، گردشگری سلامت، انرژیهای نو و حتی تجارت…
-
دلار در سقف تاریخی
به گزارش پایگاه خبری یازاکو طبق روال هفتگی، نگاهی به عملکرد بازارهای داخلی و جهانی انداخته و چشماندازی از روند احتمالی آنها ارائه داده است. ارز بازار ارز در آخرین روز معاملاتی هفته، شاهد یکی از مهمترین تحرکات قیمتی ماههای اخیر بود. دلار آزاد با عبور از سقفهای پیشین، وارد محدودهای شد که پیشتر صرفاً…
-
باقلوای ملی گوگان؛ از میراث خوراکی تا افق برند ملی
به گزارش یازاکو، چهارمین جشنواره باقلوای سنتی گوگان با برپایی ۲۴ غرفه تخصصی و مشارکت گسترده تولیدکنندگان خانگی، بستری برای معرفی ظرفیتهای فرهنگی، معیشتی و گردشگری این شهر فراهم کرد. این رویداد، جلوهای عینی از پیوند میان فرهنگ غذایی، اقتصاد خانگی و هویت محلی بود و با استقبال شهروندان و گردشگران همراه شد. باقلوی گوگان…
-
گلوگاه تولید تحت فشار؛ اقتصاد ایران وارد رکود شد
به گزارش یازاکو، مرکز آمار ایران در تازهترین گزارش خود وضعیت رشد اقتصادی در سال ۱۴۰۴ را اعلام کرد. بر اساس این گزارش رشد اقتصادی به قیمتهای بازاری معادل منفی ۰.۱ درصد بوده است. در این فصل میزان مصرف خصوصی کاهش یافته که نشان میدهد وضعیت رفاهی خانوارها مطلوب نبوده است. کاهش موجودی انبار در…
-
طلا و سکه رکورد زدند
به گزارش پایگاه خبری یازاکو طبق روال هفتگی، نگاهی به عملکرد بازارهای داخلی و جهانی انداخته و چشماندازی از روند احتمالی آنها ارائه داده است. ارز قیمت دلار در آخرین روز معاملاتی هفته بین دو کانال در نوسان بود. این ارز که در ابتدای روز در کانال ۱۲۰ هزار تومانی تومان قرار داشت، به دنبال…
-
گزارش عملکردی اقتصاد آذربایجان شرقی در نیمه نخست ۱۴۰۴
به گزارش یازاکو، بر اساس اطلاعات منتشرشده از سوی وزارت امور اقتصادی و دارایی، آذربایجان شرقی در ششماهه امسال ۸۵۰ میلیون دلار صادرات غیرنفتی ثبت کرده که معادل ۳۱ درصد رشد ارزشی و ۴۹ درصد رشد وزنی نسبت به سال قبل است. این عملکرد، استان را در رتبه پنجم صادرات غیرنفتی کشور قرار داده و…
-
مازوت سوزی و آلودگی تنفسی؛ نماد ورشکستگی اقتصادی
به گزارش یازاکو، جعفر ساعینیا_ آلودگی شدید هوای شهرهای ایران از جمله تبریز، نتیجه مستقیم تصمیمات اقتصادی دهههای گذشته است. سیاستهای قیمتگذاری دستوری انرژی، تثبیت دستمزدها و کنترل قیمت کالاها، اقتصاد کشور را به سمت دولتی شدن و ناکارآمدی سوق دادهاند. وقتی قیمت واقعی انرژی پایین نگه داشته میشود، زیر نظر دولتی که خود عامل…
-
عبور تبریز از اندازه بهینه شهر؛ زنگ خطر برای کیفیت زندگی و بهرهوری اقتصادی
به گزارش یازاکو، جعفر ساعینیا_ اندازه بهینه شهر مفهومی در اقتصاد شهری است که بر تعادل میان منافع ناشی از تراکم جمعیت و هزینههای ناشی از آن تأکید دارد. زمانی که شهری از این نقطه عبور کند، تراکم جمعیت به جای ایجاد صرفههای مقیاس، به بروز ازدحام، آلودگی، کمبود خدمات، افزایش قیمت مسکن و افت…
-
استاندارد، زیرساخت پیشرفت و راهبردی ملی است
به گزارش یازاکو، بهرام سرمست روز پنجشنبه اول آبانماه ۱۴۰۴ در آیین گرامیداشت روز جهانی استاندارد و تقدیر از واحدهای نمونه کیفی، اظهار کرد: استاندارد به عنوان زیربنای توسعه ملی، نقش کلیدی در تنظیم روابط تولید و بازار دارد و امروزه از مهمترین شاخصهای ارزیابی تابآوری اقتصادی کشورهاست. وی افزود: در دنیای امروز، کشورهای پیشرفته…
-
صندوق بینالمللی پول گزارش داد؛رشد اقتصادی در خاورمیانه و شمال آفریقا شتاب میگیرد
به گزارش واحد ترجمه پایگاه خبری یازاکو به نقل از حریت جهاد مدیر صندوق بینالمللی پول در امور خاورمیانه و آسیای مرکزی، در مصاحبهای با خبرگزاری فرانسه گفت: «با وجود تمام شوکهایی که در تجارت ناشی از اقدامات تعرفهای، تنشهای ژئوپلیتیکی، درگیریها و نوسانات قیمت نفت شاهد بودیم، شاهدیم که رشد اقتصادی نسبت به سال…
-
زنجان میزبان نشست همکاریهای اقتصادی ایران و کشورهای عضو اکو
به گزارش یازاکو، جعفر ساعینیا_ رئیس اتاق بازرگانی، صنایع، معادن و کشاورزی زنجان گفت: هفته آینده زنجان میزبان نشست همکاریهای اقتصادی ایران و کشورهای عضو اکو خواهد بود. صمد یوسفیاصل با بیان این مطلب، اظهار کرد: مهمانان از روز یکشنبه (۲۷ مهرماه) وارد زنجان خواهند شد و تا روز سهشنبه (۲۹ مهرماه) در استان حضور…
-
فرید موسوی: رشد اقتصادی صفر و تورم بالای ۴۰ درصد، نشان از عدم اجرای برنامه هفتم توسعه است
به گزارش یازاکو، فرید موسوی، در ادامه نشست شورای گفتوگوی دولت و بخش خصوصی استان با اشاره به وعده کاهش تورم به کمتر از ۱۰ درصد، افزود: وعده ما این بود که تورم را به زیر ۱۰ درصد کاهش دهیم، اما اکنون تورم کشور بالای ۴۰ درصد است. این وضعیت جای سوال دارد که چه…
-
دومین گردهمایی تخصصی فعالان صنعت بتن در تبریز برگزار شد
به گزارش یازاکو، این گردهمایی به همت انجمن صنفی کارفرمایی تولیدکنندگان بتن آماده و قطعات بتنی استان آذربایجان شرقی برگزار شد و هدف آن بهرهگیری از ظرفیتهای پژوهشگران، مسئولان و فعالان عرصه ساختمان و صنعت بتن، ایجاد بستر تبادل دانش و تجربیات، و طرح دیدگاههای تخصصی مدعوین عنوان شد. در این رویداد که با حضور…
-
کیفیت بتن آماده آذربایجانشرقی در سطح کشور شناخته شده است
به گزارش یازاکو،هادی آهنگر پروین، رئیس انجمن صنفی کارفرمایی تولیدکنندگان بتن آماده و قطعات بتنی آذربایجان شرقی، با اشاره به سابقه فعالیت این انجمن گفت: انجمن بتن آماده تبریز بیش از دو دهه در سطح شهر فعالیت داشت و به درخواست واحدهای تولیدی، دو سال پیش به انجمن صنفی استانی تبدیل شد. از ۹ عضو…
-
توجه به استانداردهای ساختمان ضروری است
به گزارش یازاکو، شهرام کاشانی اصل، مدیرکل اداره استاندارد استان آذربایجان شرقی در دومین گردهمایی تخصصی فعالان صنعت بتن، افزود: اقدامات مرتبط با استحکام و ایمنی ساختمانها باید در اولویت قرار گیرد. مراقبت از جان و امنیت مردم امری حیاتی است که نمیتوان آن را نادیده گرفت. وی ادامه داد: همچنین، باید مسائل قضائی و…
-
بخش خصوصی نقش مؤثری در توسعه اقتصادی استان دارد
به گزارش یازاکو، موسی خلیلالهی در مراسم تودیع و معارفه مدیرکل جدید امور اقتصادی و دارایی استان که روز چهارشنبه، ۱۶ مهرماه برگزار شد، با اشاره به نقش کلیدی قوه قضاییه در حمایت از تولید و سرمایهگذاری، اظهار کرد: در راستای عمل به فرمایشات مقام معظم رهبری در خصوص تولید و سرمایهگذاری، کمیسیون اقتصادی دادگستری…
-
تاکید معاون وزارت اقتصاد بر لزوم ارتقاء تولید و هماهنگیهای اقتصادی در آذربایجان شرقی
به گزارش یازاکو، رضا خواجهنائینی، در مراسم تودیع و معارفه مدیرکل امور اقتصادی و دارایی آذربایجان شرقی که روز چهارشنبه، ۱۶ مهرماه برگزار شد، ضمن بیان اینکه استان آذربایجان شرقی حدود ۴۸ درصد جمعیت کشور را در خود جای داده است، افزود: این استان ۵۲ درصد از ارزش افزودهاش را از بخش صنعت و ۴۸…
-
مراسم تودیع و معارفه مدیرکل امور اقتصادی و دارایی آذربایجان شرقی برگزار شد
به گزارش یازاکو، نقی زهی، مدیرکل جدید اداره امور اقتصادی و دارایی آذربایجان شرقی، ضمن قدردانی از اعتماد وزارت امور اقتصادی و دارایی و تأکید مقام عالی استان، گفت: بانکها و گمرکات نقشی کلیدی در اداره امور اقتصادی دارند. در شرایط کنونی کشور، برای غلبه بر چالشهای پیشرو، رونق اقتصادی ضروری است و این امر…
-
گزارش تورم شهریور ۱۴۰۴ در شمالغرب کشور
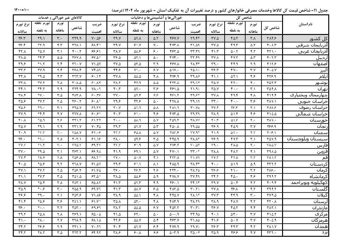
به گزارش یازاکو، جعفر ساعینیا_ بر اساس تازهترین دادههای مرکز آمار ایران، شاخص قیمت مصرفکننده در شهریور ۱۴۰۴ برای کشور به عدد ۳۸۴.۶ رسیده که بیانگر تورم سالانه ۳۷.۵ درصدی، تورم نقطهبهنقطه ۴۵.۳ درصدی و تورم ماهانه ۳.۸ درصدی است. بررسی آمارهای چهار استان شمالغربی کشور شامل آذربایجان شرقی، آذربایجان غربی، زنجان و اردبیل نشان…
-
چگونه از اهداف معاملاتی و تقویم اقتصادی به همراه الگوهای نموداری درمعاملات با بروکر ویندزور استفاده کنیم؟
به گزارش یازاکو، معامله در بازارهای مالی میتواند تجربهای پربار و سودآور باشد، اما نیازمند یک برنامهریزی واضح و اهداف واقعبینانه است.با ارزیابی مهارتهای خود، تعریف اهداف واضح، ادغام استراتژیهای مدیریت ریسک و اطلاعرسانی مداوم، میتوانید اهدافی تعیین کنید که قابلدسترس و هماهنگ با اهداف مالی کلی شما باشد.با اگاهی از این رویدادها، تریدرها میتوانند…
-
چهار دهه اصرار بر تقابل؛ اثر مثبت سیگنال مذاکرات بر بازار ارز
یازاکو، جعفر ساعینیا – سیاستی که به جای اتکا بر منافع ملی، ریشه در گفتمان ایدئولوژیک و نگاه تقابلی به نظم جهانی داشته و هزینههای سنگینی را بر اقتصاد، سیاست و زندگی روزمره مردم ایران تحمیل کرده است. این سیاست طی چهار دهه گذشته عملاً نهتنها دستاوردی در جهت ارتقای امنیت یا توسعه ملی نداشته،…
-
نمیتوان در عرض ۷ ماه عملکرد تیم اقتصادی و کابینه دولت را قضاوت کرد
به گزارش یازاکو، علیرضا نوین در گفتوگو تصریح کرد: ما در ماه آخر سالجاری قرار دادیم و اگر آقای همتی روز یکشنبه دوازدهم اسفند در مجلس شورای اسلامی استیضاح شود، وزارت اقتصاد باید در ایام تعطیلات عید نوروز و اوایل سال آینده توسط سرپرست اداره شود که ظاهر این امر گویای بدتر شدن شرایط اقتصادی…
-
پنجمین مجمع جهانی اقتصاد در قطر برگزار می شود
به گزارش واحد ترجمه پایگاه خبری یاز اکو به نقل از بیزیم مدیا، پنجمین مجمع جهانی اقتصاد با بحث هایی در مورد تجارت، سرمایه گذاری، تجارت، انرژی، امنیت، فناوری و نوآوری برگزار می شود. لازم به ذکر است که در چهارمین مجمع اقتصادی قطر که سال گذشته در ۱۴ تا ۱۶ اردیبهشت برگزار شد، بیش…
-
۹۴ درصد اقتصاد آذربایجانشرقی در دست بخش خصوصی است
به گزارش یازاکو، بهرام سرمست در دیدار سرپرست امور شعب بانک ملی در استان با وی افزود: در مقطع فعلی مجموعهای از برنامههای اقتصادی را در استان دنبال میکنیم و در این راستا، نقش بانکها در پیشبرد تولید و برنامههای کارگروه تسهیل و رفع موانع تولید بیشتر از سایر دستگاههاست. وی ادامه داد: در آذربایجان…





















